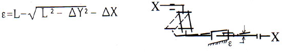
1、裝在管道彎頭附近的橫向型補償器,兩端各高一導向支座,其中一個宜是平面導向管座,其上、下活動間隙按下式計算:
ε-活動間隙(mm);
L-補償器有效長度(mm);
△Y-管段熱膨脹量(mm);
△X-不包括L長度在內的垂直管段的熱膨脹量(mm);
2、角向型補償器宜兩個或三個為一組配套使用,用以吸收管道的橫向位移,對Z形和L形管段兩個固定管架之間,只允許安裝一個橫向型補償器或一組角向型補償器。
此時平面鉸鏈銷的軸線_垂直于彎曲管段形成的平面(萬向鉸鏈補償器不受此限制)。
裝有一組鉸鏈補償器的管段,其平面導向架的間隙ε亦可按上式計算。
但是L長度應為兩補償器鉸鏈軸之間的距離,△X是整個垂直管段的熱膨脹量。
3、補償器兩側的導向支座應接近補償器,支座的型式應使補償器能定向運動。